LDO는 스위칭 레귤레이터와 달리 구현하기 쉽고 높은 스위칭 잡음이 발생하지 않는 장점이 있다. 하지만 높은 스위칭 잡음 외에 다양한 잡음 소스가 존재한다. 이 글에서는 LDO 잡음 소스에 대해 알아보고 여러 상황에서 발생하는 잡음 측정법을 소개한다.
저드롭아웃 레귤레이터(LDO, Low-dropout regulators)는 높은 입력 전압을 낮은 출력 전압으로 바꾸는 데 사용되는데, 스위칭 레귤레이터와 달리 구현하기 쉽고 높은 스위칭 잡음이 발생하지 않는다는 장점이 있다.
많은 애플리케이션은 스위칭 레귤레이터를 이용해 하나의 전압을 다른 전압으로 효율적으로 변환한 후, LDO로 전압을 여과 및 정화한다. 이후 그 전압은 실제 부하 디바이스로 이동한다.
디바이스 잡음은 회로의 레지스터와 트랜지스터로 인한 물리적 현상이며, 밴드갭(bandgap)은 LDO에서 가장 큰 내부 잡음 소스이다1). 이 때문에 저잡음 LDO에 잡음 감소 핀을 추가하는 것이다.
잡음 감소 핀은 NR 캡이라는 외부 커패시터를 이용해 밴드갭을 필터링 하며, 사용자는 이 핀에 커패시터를 붙여 대형 내부 레지스터와 함께 로우패스 필터를 생성할 수 있다. NR 커패시터는 밴드갭 잡음 필터링을 하면서, 스타트업 과정에서 밴드갭(그리고 출력 전압)의 상승을 늦추는 역할을 한다.
서론
입력 전압, 출력 커패시터 및 부하 전류는 LDO의 출력 잡음에 거의 영향을 주지 않는다. 따라서 디바이스가 통일게인 구성으로 사용되지 않는다면, 잡음은 LDO의 출력부터 LDO의 피드백 노드까지 커패시터를 연결해 감소시킬 수 있다2).
이 커패시터를 피드-포워드 캡(CFF)라 하는데, 높은 주파수대에서 쇼트와 유사하며 LDO의 폐루프로 게인을 감소시키고 오류 증폭기가 고주파수 잡음을 증폭시키지 않게 한다. 또한 잡음 감소 커패시터처럼 CFF는 스타트업 시간을 증가시킨다.
잡음은 다음의 2가지 방식으로 데이터시트에 표시된다.
• 주파수 대비 스펙트럼 잡음 밀도(in µV/√Hz)의 도표를 보여주는 방식
• 제곱평균(RMS) 잡음 전압을 µVRMS으로 명기하여 전기적 특성 표에 라인을 추가하는 방식
RMS 잡음 전압은 특정 주파수 범위(10Hz∼100kHz 또는 100Hz∼100kHz)에서 적분된 스펙트럼 잡음 밀도와 동일하다. 이는 주파수 범위가 사용자의 애플리케이션 필요에 맞춰 조정된다고 가정했을 때, 여러 LDO들의 잡음 성능을 비교하는 가장 빠른 방법이다.
대부분의 데이터시트는 통일게인 구성으로 LDO에서의 RMS 잡음을 보고하는데, 이는 일반적인 출력 잡음은 게인에 비례하기 때문이다.
그래서 통일게인 RMS 잡음 전압 및 사용자의 출력 전압에 필요한 게인을 알고 있다면, 애플리케이션의 RMS 잡음 전압이 어떻게 나올 것인지 금방 추정할 수 있다. 여러 LDO들을 비교할 때는 애플리케이션에 사용할 실제 출력 전압에서 RMS 잡음을 비교해야 한다.
잡음 측정 블록 다이어그램
그림 1의 블록 다이어그램은 잡음 측정 구조이다. 이에 대해서는 이후에 자세히 설명하기로 한다. 전원 공급 장치가 평가 모듈(EVM)을 구동하는데, EVM은 LDO가 배치될 인쇄회로기판(PCB)이다.

그림 1. 잡음 측정 구조의 블록 다이어그램
LDO나 그 전의 필터는 옵션으로서, 전원 공급 장치에서 나오는 잡음을 감소시키며 AC 커플링 커패시터는 AC 신호가 다음 회로에 전달될 수 있게 해준다. 이외에 증폭기 역시 옵션으로 스펙트럼 애널라이저가 신호를 더 쉽게 측정할 수 있게 해준다. 증폭기는 잡음 플로어(EVM 연결 없이 측정된 잡음)가 LDO의 잡음 출력에 비해 너무 높을 경우에만 필요하다.
스펙트럼 애널라이저의 밴드패스 필터 너비를 설정하는 분해능 대역폭(RBW, Resolution Bandwidth)이 측정한 주파수보다 적더라도 10 이상은 작아야 한다. RBW가 작을수록, 특정 주파수 콘텐츠에서 더 많은 분해능을 볼 수 있기 때문이다.
그러나 RBW가 작으면 측정 시간이 증가한다. 이에 대부분의 애널라이저는 AUTO 기능을 가지고 있다. AUTO 기능은 주파수가 증가하면 RBW를 증가시켜 총 측정 시간을 줄여준다.
이 기능을 효과적으로 이용하려면 최소한의 RBW이나 최대한의 RBW를 설정해야 한다. 또한 비디오 대역폭(VBW, Video Bandwidth)은 화면의 매끄러운 부분의 양을 설정한다. 이는 RBW와 똑같이 설정되는 것이 보통이다.
마지막으로, 잡음의 무작위 특성으로 인해 크기가 변동하는 잡음을 측정하는 것이기 때문에 스펙트럼 애널라이저에 내장된 평균 기능을 사용해야 한다. 이를 위해 각 포인트를 여러 번 측정하여 그 결과를 평균 낸다.
이는 인접 포인트들을 평균 내는 롤링 평균이 아니라, 각 주파수 위치에서의 여러 번 측정을 평균한 것임에 유의한다. 보통의 경우 25와 50 사이 어딘가에서 샘플 평균을 설정한다.
잡음 플로어
모든 측정장비는 한정된 분해능을 갖는데, 스펙트럼 애널라이저의 경우 이러한 한계를 잡음 플로어라 한다. 이 잡음 플로어 아래의 신호는 애널라이저로 분해할 수 없다. LDO의 잡음이 애널라이저의 잡음 플로어와 가깝다면 LDO의 출력을 늘려야 제대로 된 LDO의 출력 잡음을 측정할 수 있을 것이다. 여러 잡음 소스들에서의 잡음 밀도는 잡음 소스들의 제곱평균을 취해 계산한다는 점을 명심한다1).

잡음 측정 시 스펙트럼 애널라이저 내부 잡음과 측정 시 실험실에 존재하는 외부 잡음 소스도 고려해야 한다.
이 모든 잡음 소스는 한 곳에 모을 수 있으며, 이것은 유효 잡음 플로어(NNF)가 된다. 이는 실험실 장비로 측정할 수 있는 가장 낮은 잡음이다.
측정에 필요한 잡음 플로어를 알아내려면, 테스트 할 디바이스를 삽입하지 않고 최대한 가깝게 실제 구조처럼 두어야 한다. 정확한 측정을 위해 테스트의 잡음 플로어가 설정되면, 테스트 대상 디바이스(NDUT)의 예상 출력 잡음과 비교한다. 경험에 의하면, 측정된 디바이스의 잡음 밀도는 그 구조의 잡음 플로어보다 10배 더 클 것이다.
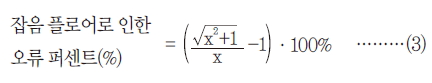
이로 인해 잡음 플로어가 측정에 약 0.5% 가량 기여할 것이다. 식 (2), (3)은 잡음 플로어로 인한 오류 퍼센트(%)를 알아내는데 사용된다. 그러면 자신의 상황에 무엇이 허용되는지 알아낼 수 있다.

여기에서 NOUT은 LDO의 잡음 밀도이고, N는 잡음 플로어이며, x는
의 비율이다.

증폭기
스펙트럼 애널라이저의 잡음 플로어가 너무 높아 허용 불가능한 양의 오류를 측정하는 경우는 다음의 2가지 중 하나를 선택하면 된다.
• 더 나은 스펙트럼 애널라이저를 구입
• 저잡음 고속 증폭기를 구입해 비반전 게인 회로 만듦
이 중 두 번째 옵션을 정확히 구현하려면 적합한 연산 증폭기를 선택하고, 보드를 설계 및 가공하고 조립해야하기 때문에 많은 시간이 필요하다. 그러나 이 방법이 고성능 테스트 장비를 구매하는 것보다 훨씬 더 저렴할 것이다.
증폭기를 사용하기로 결정했다면, 게인 대역폭 결과물(GBP, Gain Bandwidth Product)이 자신의 필요에 적합한지 확인해야 한다. 이론상 출력 잡음을 측정하게 될 주파수 범위에서 게인이 평평해야 할 것이다.
예를 들어, 40dB (100V/V)의 게인이 스펙트럼 애널라이저의 잡음 플로어보다 한참 위여야 하고 그 잡음을 10MHz까지 측정해내야 한다면, 연산 증폭기가 적어도 1GHz 이상의 GBP를 가져야 할 것이다.
이런 증폭기를 취득할 수 있다면, 측정된 값을 그 게인으로 나누면 된다. 반면에 증폭기가 고주파수 롤오프를 보인다면, 주파수 대비 게인을 측정한 후, 각 포인트 위치에서 측정한 값을 그 주파수의 증폭기 게인으로 나눌 수 있다.
연산 증폭기의 참조된 입력 잡음은 최대한 낮아야 한다. 그 이유는 잡음이 회로의 게인에 의해 증폭되기 때문이다. 또한 연산 증폭기의 자가 발생 잡음이 LDO의 신호를 희미하게 하지 않도록 주의해야 한다.
그럴 경우 증폭기가 아무 소용없기 때문이다. 또 다른 잡음 기여물은 비반전 증폭기의 게인을 설정하는데 사용되는 레지스터이다. 레지스터는 열 잡음을 만들어내는데, 저항의 제곱근에 비례한다.
따라서 증폭기에 과부하를 주지 않는 가장 작은 저항 값을 선택해야 한다. 참고로 증폭기는 스펙트럼 애널라이저의 입력 임피던스도 구동해야 한다는 점을 명심하자.
AC 커플링 커패시터
대부분의 스펙트럼 애널라이저는 입력 터미널을 가지고 있는데, 50Ω로 제한되며 전류를 많이 낮추지는 못한다. 손상을 막기 위해 입력 터미널의 임피던스를 높여야 한다. 일부 제조업체들은 높은 임피던스 액티브 프로브를 내놓고 있다. 그런데 액티브 부품이기 때문에 측정에 자체 잡음을 유발시킨다.
높은 임피던스 입력을 만들어내는데 좋은 방법은 AC 커플링 커패시터를 사용하는 것이다. 보통의 경우 커패시터는 한 터미널은 대상 신호에 연결되어 있고 다른 터미널은 그라운드에 연결돼 있는 바이패스 구성으로 사용된다. 커패시턴스가 무한한 이론상의 커패시터를 바이패스 구성으로 가정했을 때, AC 신호가 그라운드에 쇼트 되는 동안 DC 신호가 통과한다.
그러나 커패시터의 한 터미널을 LDO의 출력에 연결하고 우리가 측정할 곳에 다른 터미널을 연결할 경우, 그 커패시터는 AC 신호가 통과할 동안 DC 신호를 차단할 것이다. 이 예시에서 DC는 명목 출력 전압이고 AC 신호는 잡음 전압인데, 이것이 바로 우리가 측정하려는 것이다.
AC 커플링 커패시터의 커패시턴스는 유한하기 때문에, 차단 주파수(fc) 아래의 신호를 약화시키는 하이패스 필터를 만들어야 한다. 차단 주파수는 커플링 커패시턴스와 스펙트럼 애널라이저 입력 터미널 저항의 곱과 반비례한다.
스펙트럼 애널라이저의 임피던스는 고정값(대체로 50Ω)이기 때문에 AC 커플링 커패시터의 커패시턴스에 의해 얼마나 낮은 주파수를 정확하게 측정할 수 있는지가 결정된다. 아래 식 4는 AC 커플링 커패시터의 커패시턴스를 계산하는데 이용할 수 있다.

차단 주파수는 필터가 이미 신호를 3dB 감쇠하기 시작한 지점이기 때문에, 측정할 최저 주파수보다 대략 10배 낮은 차단 주파수를 선택해야 한다. 한 예시로 50Ω 입력 터미널을 가진 애널라이저로 10Hz까지 정확하게 측정하려는 경우에는 대략 3mF의 커패시턴스가 필요하다.
커패시터의 허용오차와 전압 정격감소는 물론, 실온이 아닌 온도에서 테스트를 수행하려 할 경우 온도 정격감소까지 감안해야 한다. 그림 2는 10Hz까지 측정하기 위해 만들어진 최초의 AC 커플링 캡 중 하나이다. 여러 캡들을 프로토보드 위에 나란히 납땜한 후, 각각의 끝에 와이어를 납땜했다. 효과는 있지만 매우 낮은 잡음의 LDO를 측정할 때에는 환경적인 잡음이 문제가 될 수 있다.
그림 3은 환경적인 잡음을 차폐하도록 만든 AC 커플링 커패시터로써, 차폐 케이블을 이용하여 모든 연결을 할 수 있도록 초소형 버전 A(SMA) 커넥터를 사용했다. 이것은 측정 대상 디바이스에서 나오지 않는 잡음 픽업을 최소화하는데 도움이 된다.

그림 2. 잡음 측정을 위한 최초의 비차폐형 4000μF AC 커플링 커패시터

그림 3. 낮은 잡음 측정을 하는데 사용되는 차폐형 5100 uF AC 커플링 캡
전원 공급 장치
잡음이 측정에 영향을 미치는 요소 중 하나는 전원 공급 장치이다. 여기에는 LDO용 전원 공급 장치와 LDO의 출력을 늘리는데 사용되는 증폭기용 전원 공급 장치가 모두 해당된다.
가능하다면, 배터리를 이용해 LDO와 게인 회로 모두를 구동하는 것이 좋다. 그러나 이는 고전류 LDO에서는 어려울 수 있다. 그 이유는 배터리 전압이 측정에 필요한 희망 공급전압까지 전압을 감압하도록 요구할 수도 있기 때문이다.
벤치톱(benchtop) 전원 공급 장치는 출력을 쉽게 조절할 수 있고 전하를 다 써버리지 않기 때문에 편리하다. 그렇지만 잡음이 있는 편이다.
대부분의 벤치톱 전원 공급 장치의 출력은 라인 사이클 주파수(보통 50 또는 60Hz)와 내부 컨버터의 스위칭 주파수에서 스펙트럼 잡음에 큰 스파이크를 갖게 된다. 일부 벤치톱 전원 공급 장치는 선형 공급으로 동작하지만, 대다수의 최근 출시된 벤치톱 공급장치들은 스위칭 컨버터를 가지고 있어서 스위칭 주파수에서의 추가 잡음 스파이크와 고조파를 해결하지 않으면 사용할 수 없다.
전원 공급 장치의 잡음을 줄이는 방법은 2가지가 있다. 첫 번째는 브루트-포스 패시브 필터링을 사용하는 것이다. 라인 사이클 주파수 아래의 차단 주파수로 로우패스 pi 필터를 만들면 된다. 이러한 필터는 큰 값의 인덕터와 커패시터 때문에 물리적 크기가 매우 작아지게 된다.
두 번째 방법은 저잡음, 높은 PSRR(Power Supply Rejection Ratio) LDO를 필터로 사용하는 것이다. 그러면 솔루션이 훨씬 더 작아지고 저렴해진다. 보통의 LDO는 스위칭 레귤레이터가 동작하는 높은 주파수에서 높은 수준의 PSRR이 부족하다3).
TI의 TPS7A47xx 제품군 디바이스는 낮은 출력 잡음과 넓은 대역폭의 PSRR 덕분에 고주파수 스위칭 잡음을 필터링 하는데 좋은 선택이 될 수 있다. 적당한 LDO를 찾을 수 없는 경우에는 소형 LC 필터를 이용해 스위칭 잡음을 필터링 한다.
차폐
환경적인 잡음이 없는 비차폐 환경은 없다. 잡음은 측정 구조의 여러 지점에서 나타날 수 있다. 환경적인 잡음이 잡힐 수 있는 대표적인 부분으로 측정에 사용되는 케이블링이 있다. 이 부분은 큰 인덕티브 루프를 생성하기 때문에 공급장치나 측정 라인의 양 터미널 및 음 터미널을 연결하는 와이어는 잡음 픽업에 매우 취약하다.
측정 환경에 나타나는 자기장은 원치 않는 고주파수 전류를 인덕티브 루프에 발생시킬 수 있다. 이렇게 유도된 전류와 그로 인한 잡음을 최소화하려면, 차폐 케이블과 함께 BNC(Bayonet Neill-Concelman) 또는 SMA 커넥터를 최대한 사용해야 한다.
차폐 케이블을 구할 수 없다면, 와이어를 최대한 짧게 유지하고 양 와이어 및 음 와이어를 함께 꼬아 만들어내는 인덕티브 루프를 최소화해야 한다. 이 외에 다른 좋은 방법은 측정 대상 디바이스와 다른 모든 보드들을 접지된 금속 박스 안에 넣는 것이다. 이 박스는 측정에 사용되는 보드들에게 방패 역할을 한다.
차폐 케이블의 차폐가 와이어가 잡은 잡음을 감소시키는 것과 같다. 그림 4는 차폐 박스(상단 열림)의 테스트 구조를 보여주고 있다. 단락 방지를 위한 바닥의 발포고무에 유의한다.

그림 4. 차폐 박스 안의 테스트 구조
LDO 부하
마지막으로 고려해야 할 잡음 소스는 부하와 관련된 것이다. 대다수 자동화된 테스트의 경우, 전자 부하가 사용된다. 이는 어떤 값으로든 구성이 쉽기 때문이다. 그러나 잡음을 측정할 때에는 항상 저항성 부하를 이용해야 한다. 전자 부하는 담고 있는 액티브 회로 때문에 자체 잡음 프로파일을 발생시키므로, 사용할 때는 측정에 부정적인 영향을 주게 된다.
이러한 데이터로 할 수 있는 일은?
대부분의 스펙트럼 애널라이저는 측정된 잡음을 dBµV/√Hz로 기록한다. 따라서 이 값을 µV/√Hz로 변환해야 한다. 그리고 만약 증폭기를 사용한다면 이 값을 증폭기 게인 V/V로 바꿔야 한다.
측정된 데이터 포인트 모두에 적용한 후, 주파수 대비 데이터를 그래프로 그려 많은 LDO 데이터시트에서 볼 수 있는 스펙트럼 잡음 밀도의 도면을 제작할 수 있다. 식 5은 dBµV/√Hz에서 µV/√Hz로 변환하는 방법을 나타낸다.

µV/√Hz로 스펙트럼 밀도를 얻은 후, 대상 대역폭(산업표준은 10Hz∼100kHz 및 100Hz∼100kHz) 전반에 걸쳐, 그래프 하의 영역을 계산하는 방식으로 RMS 잡음을 계산할 수 있다. 이 영역을 계산하려면, 선택된 대역폭 전체의 잡음을 적분해야 한다. 마이크로소프트 엑셀로 된 데이터를 가지고 있고 이것을 µV/√Hz로 변환했다면, 이 데이터를 다음과 같이 자세히 적분할 수 있다.
2개 인접 포인트들을 평균하고, 숫자를 제곱한 후, 이 포인트들 사이의 주파수 변화로 나눈다. 대상 주파수대의 모든 포인트에 대해 이 과정을 반복하여 모든 계산을 합한 후, 그 합계의 제곱근을 구한다. 식 6은 상기 절차 모두를 수식으로 나타낸 것이다.

여기에서 Nn은 에서의 스펙트럼 잡음 이고 fn는 주파수이다.
Kyle Van Renterghem _ 텍사스 인스트루먼트















































